Data Entry
Sample Data Entry Works
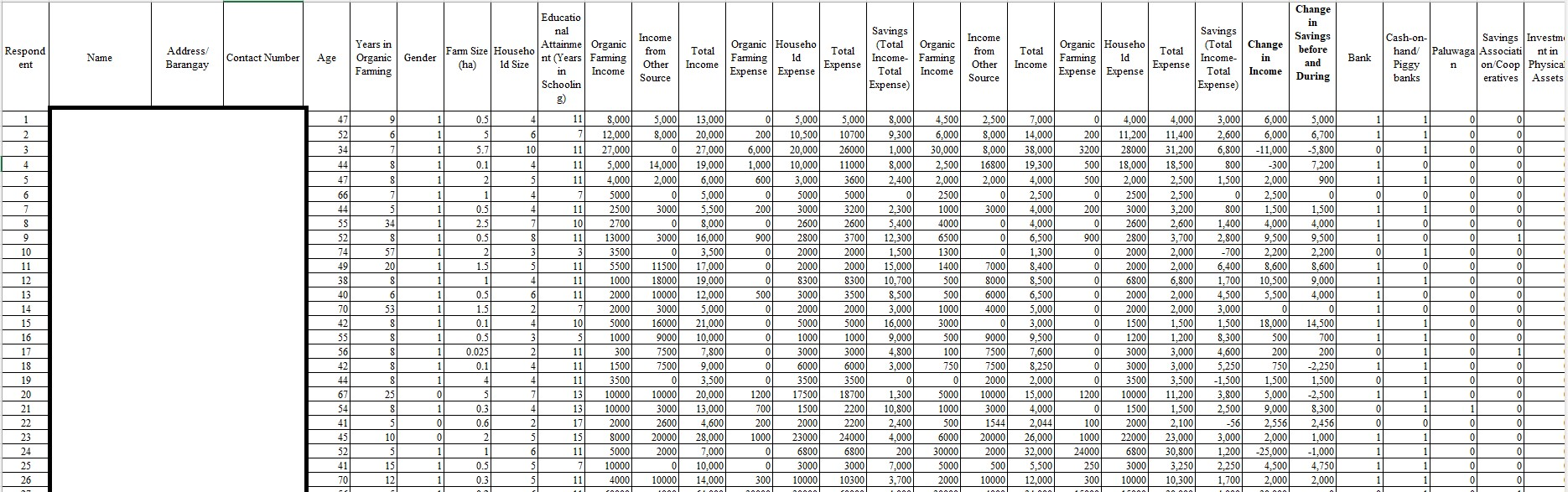
Manual Inputting of Financial Data/ Reports in an Excel File

Data Entry of Responses from a Questionnaire for a Research


