Data Entry

Type writing speed

Sample #1

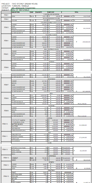
Sample #2 (cost estimate)

Sample #3 (accumulating formula)

Sample #4 (Top 30 CEO in Miami with their information)