Data Entry
Data Entry Specialist ( Admin Staff )
IDG Enterprises
2021-2023
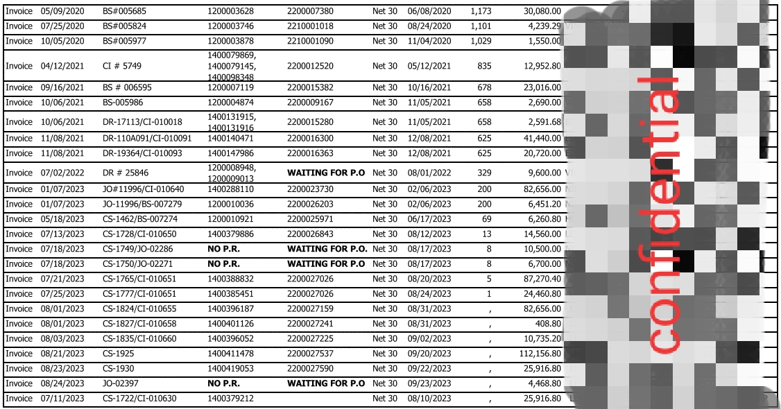
This document serves as a sample data encoding using CRM for updating actual data for our platform.