Toggle navigation
Home
About
Certificate
Resume
Services
Works
Contact
Login
Portfolio
Monday, December 27, 2021
Data Entry Specialist
Sample of daily receiving of delivery
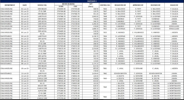
Summary of daily diesel wildrawal
Summary of daily issuance
Other Posts
Data Entry Specialist
Let's work together !
I am available for freelance projects.
Hire Me
Get In Touch
Address :
Mauban,
Philippines
Email :
inchancalzado@gmail.com