Data Entry

My Typing Skills Certificate
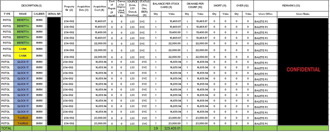
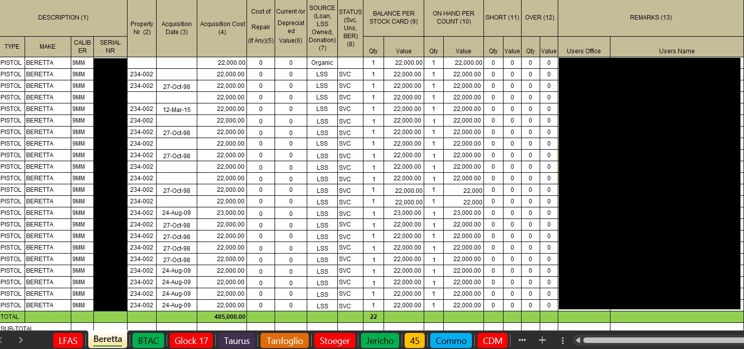
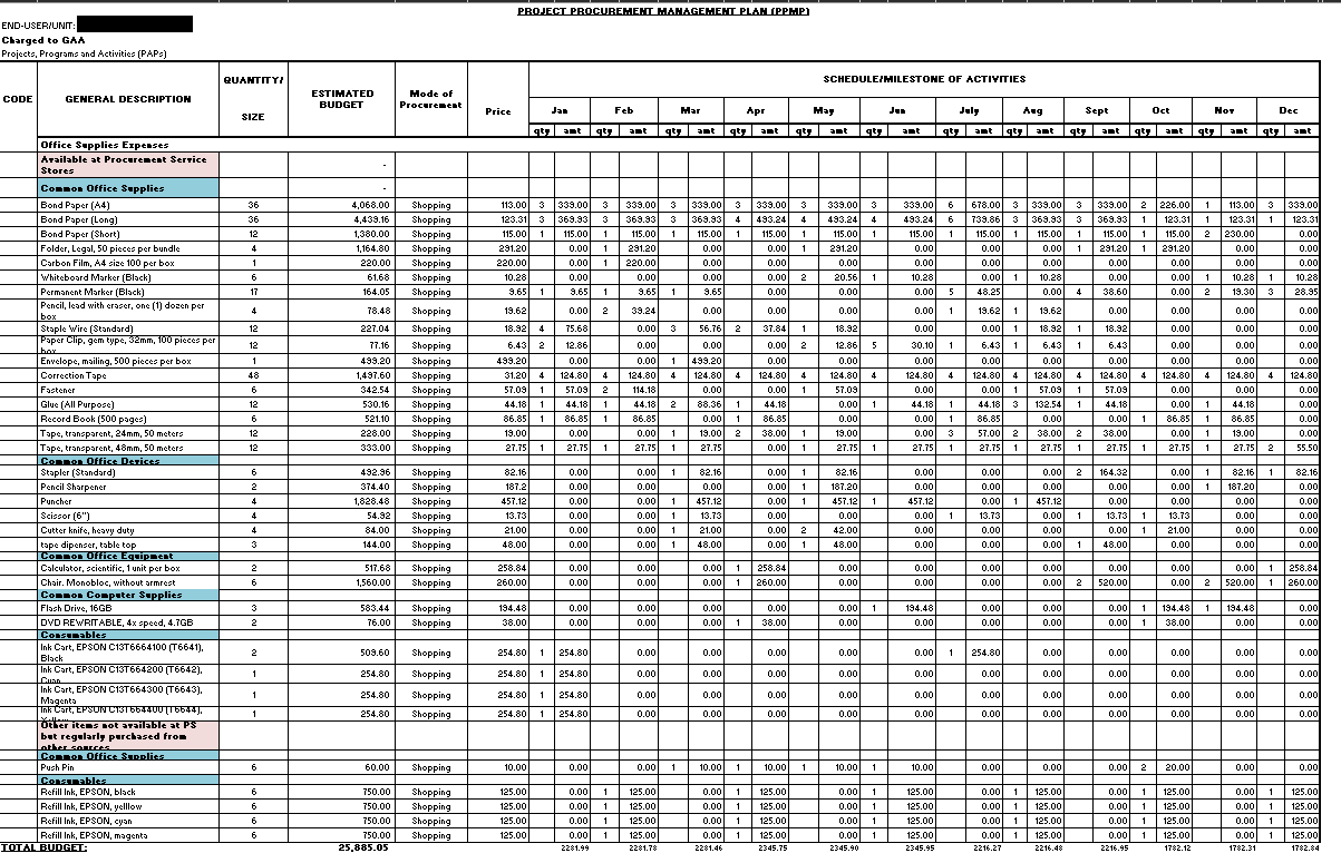
Here are some examples of my work:
Creating Firearm Inventories and Project Procurement Plan reports in Excel format.

