Data Entry
Data Entry Trainee
PRO VA Philippines
2024
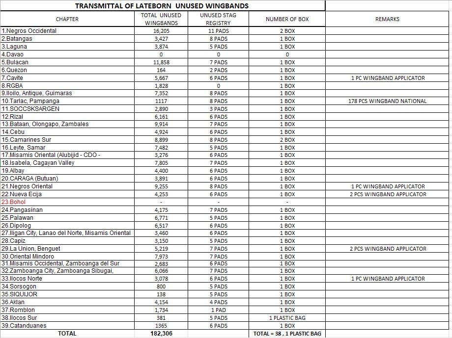
I took a General Virtual Assistant Training and my mentor gave me a project/task to encode list of 30 CEO's and 20 customers mortgage and created it using Microsoft Excel. I also have a project before, I encoded a list of wingband.
Here's my certificate for the typing test I made to calculate my speed and how accurate I am.

Here's the copy of the works I did for data entry.
I have gathered the list of the Top 20 CEOs in the Philippines and included their social media accounts, websites, and addresses to reach them quickly.
The other sample work is where I have gathered the details of the people who have existing mortgages in their outstanding balances.
I did some project about content written of 151 images converting to Microsoft Word.

I was given a task as well to produce daily reports with the task on finding new videos on TikTok based on a list of hashtags and keyword that were made in the previous 24-72 hours that are getting a lot of views and other metrics like likes and comments.
