Drafted Documents
Sample drafts of documents from professional experiences.
Directors' Certificate, Secretary Certificates, Board Resolutions, etc.

Notes: Draft for the cancellation of encumbrance of a Transfer Certificate Title with the Register of Deeds in Cavite, Philippines.

Notes: This document was part of the requirements for the dissolution of a corporation with the Securities and Exchange Commission of the Philippines.

Note: Special Power of Attorney


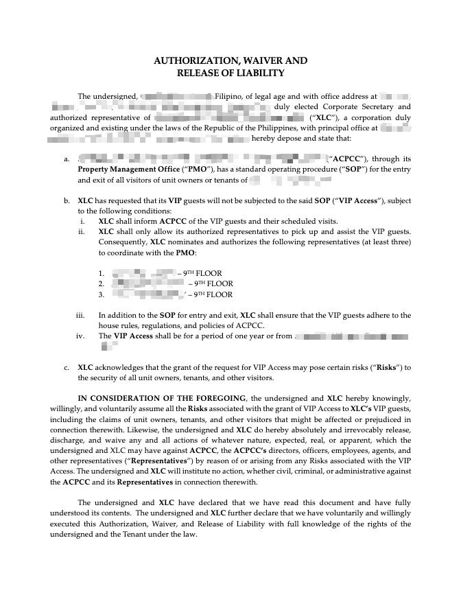
Note: Sample of Authorization, Waiver, and Release Liability.
Correspondences and Petitions

Notes: Request letter for the accreditation with the Philippine Bureau of Immigration.



Notes: Petition of Voluntary Dissolution submitted to the Securities and Exchange Commission Philippines.


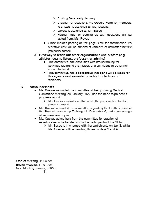
Notes: Sample of minutes taken during a committee meeting in university.

Notes: Petition letter sent to university administrators.