Toggle navigation
Home
About
Certificate
Resume
Services
Works
Contact
Login
Portfolio
Monday, December 27, 2021
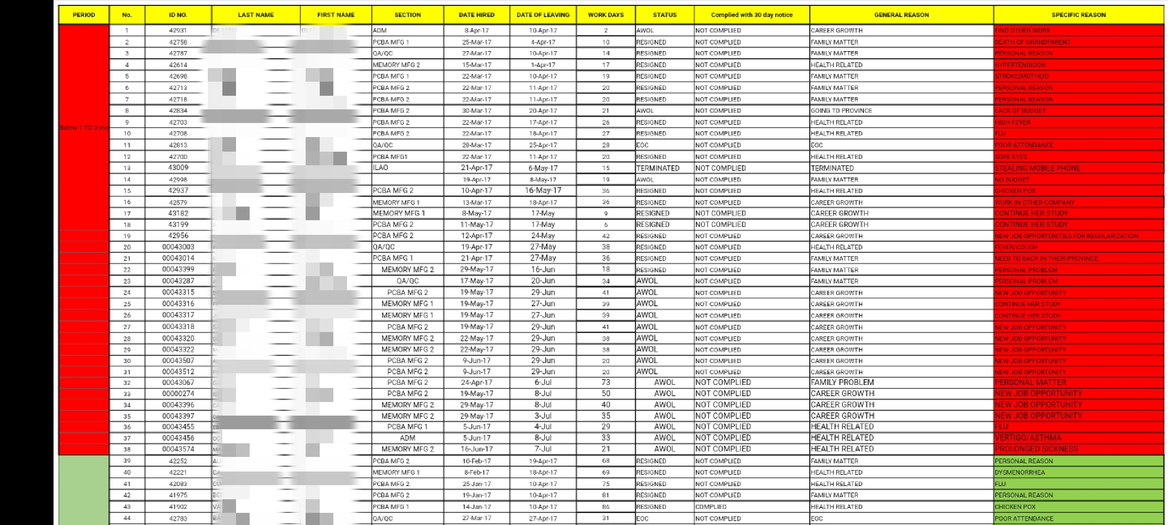
MS Excel Work Sample
Other Posts
MS Excel Work Sample
MS Excel Work Sample
MS Excel Work Sample
MS Excel Work Sample
MS Excel Work Sample
Testimonial
Infographic
Infographics
Facebook Cover Photo
3D graphic
Web Icon
Web Icon
Web Icon
Web icon
Charater Designing
Photo Manipulation
Eye-catching Graphics
Beautification
Let's work together !
I am available for freelance projects.
Hire Me
Get In Touch
Address :
Calamba City,
Philippines
Email :
proudtobezinampan@gmail.com