Toggle navigation
Home
About
Certificate
Resume
Services
Works
Contact
Login
Portfolio
Monday, December 27, 2021
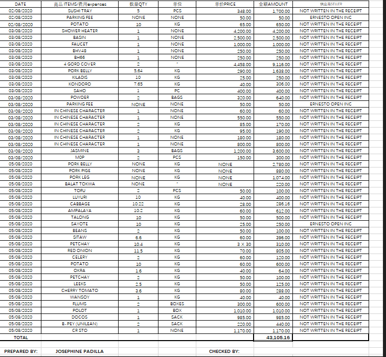
Data Entry
These are inventory list, purchases, and statement of account.
Other Posts
GRAPHIC DESIGN
ACCOUNTING
Data Entry
Bookkeeping
Let's work together !
I am available for freelance projects.
Hire Me
Get In Touch
Address :
Manila,
Philippines
Email :
josephinepadilla55@gmail.com