Data Entry Specialist
As a Data Entry Specialist, I aim to enhance business efficiency through meticulous data entry, keen attention to detail, and the maintenance of up-to-date information. Leveraging my technical skills, I verify and input data to ensure accuracy and reliability.
SAMPLE WORKS
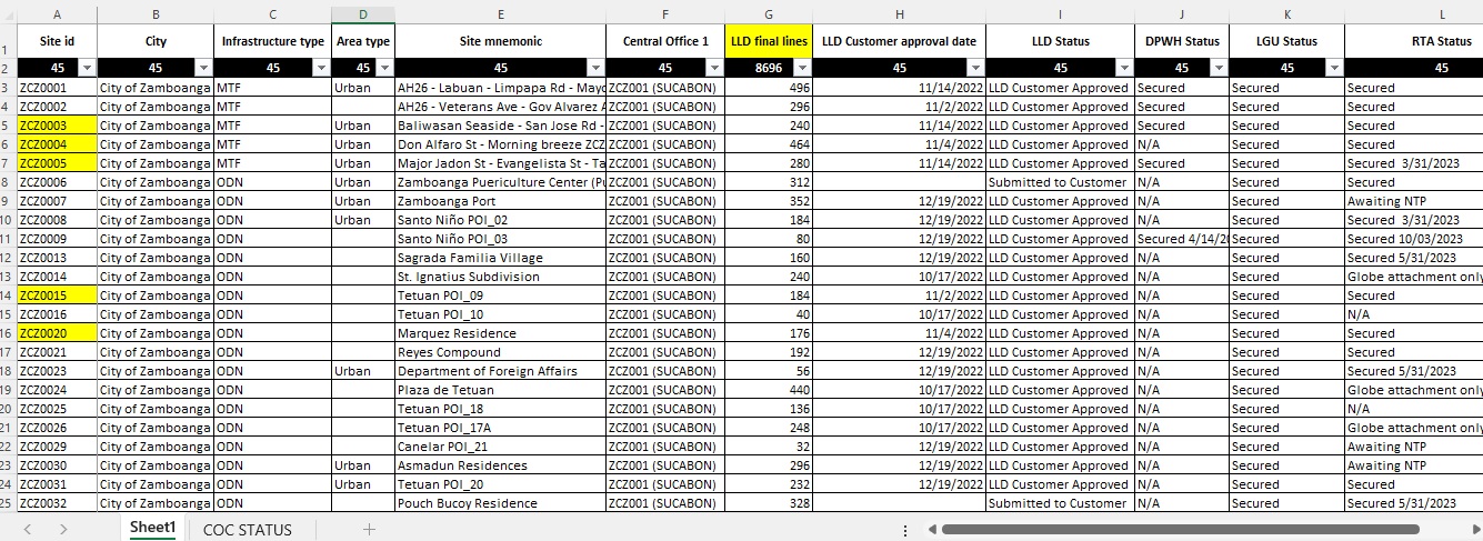
Here is a tracker for the permits we typically obtain from DPWH and LGU. We need to create trackers to monitor the status of every certificate we acquire and compile data on them. This systematic approach will streamline our process, enabling us to identify any bottlenecks and ensure a smoother workflow. Additionally, it will provide valuable insights into the overall efficiency of our permit acquisition procedures, allowing us to make informed decisions for further optimization.


Typing Test Result