Data Entry
My exceptional attention to detail, combined with a highly organized approach and strong analytical prowess, allows me to excel in capturing even the most intricate elements. Below are examples of my works that demonstrates my efficiency in using Microsoft Office tools.
First, a typing test certificate that shows speed and accuracy of my ability.

Sample Works:
Sample 1: Tracker of changes to be submitted to payroll in time for processing.
Sample 2: List of changes raised by employees after timecard information have been submitted to payroll.
Sample 3: Audit result to capture list of employees who have worked for more than 12 hours.
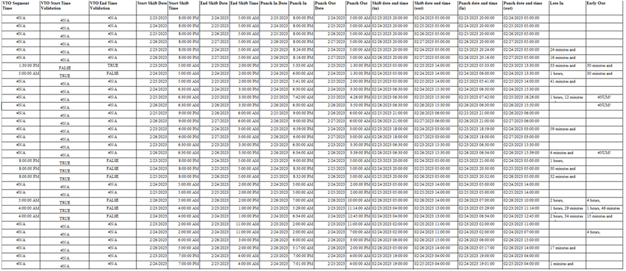
Sample 4: Partial screenshot for the Tardiness Audit report.
Sample 5: Tracker of employee information for Team Building purposes.