Quality Specialist Task
Machine Inspection Capability

New Spec Device

Output Tracking Per Machine

Monitoring Training Files

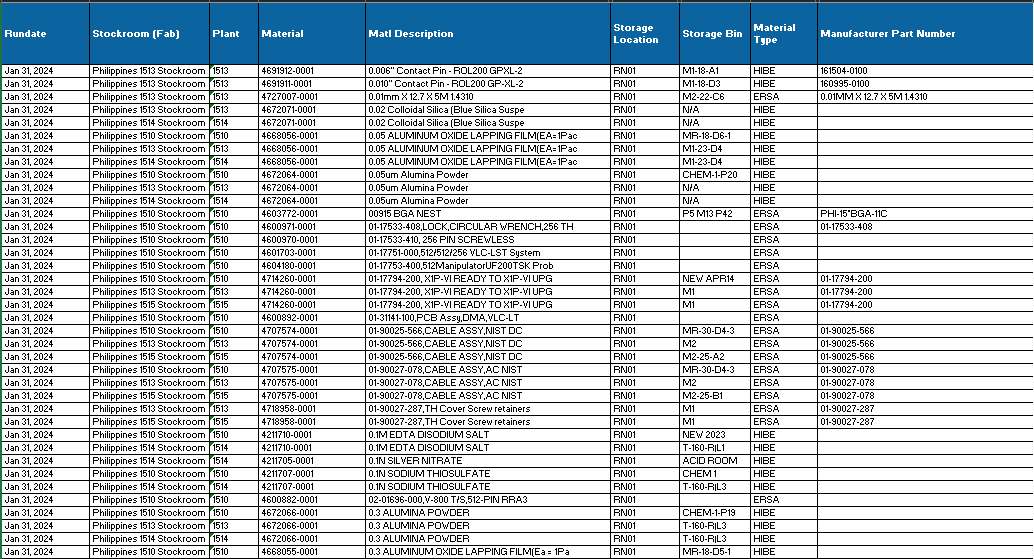
Spare Parts Inventory

20 Monitoring New Devices
