DATA ENTRY
As an admin assistant, one of my tasks was to load the prepaid sims (or numbers) of the sales personnels and some company employees that they are using for their work.
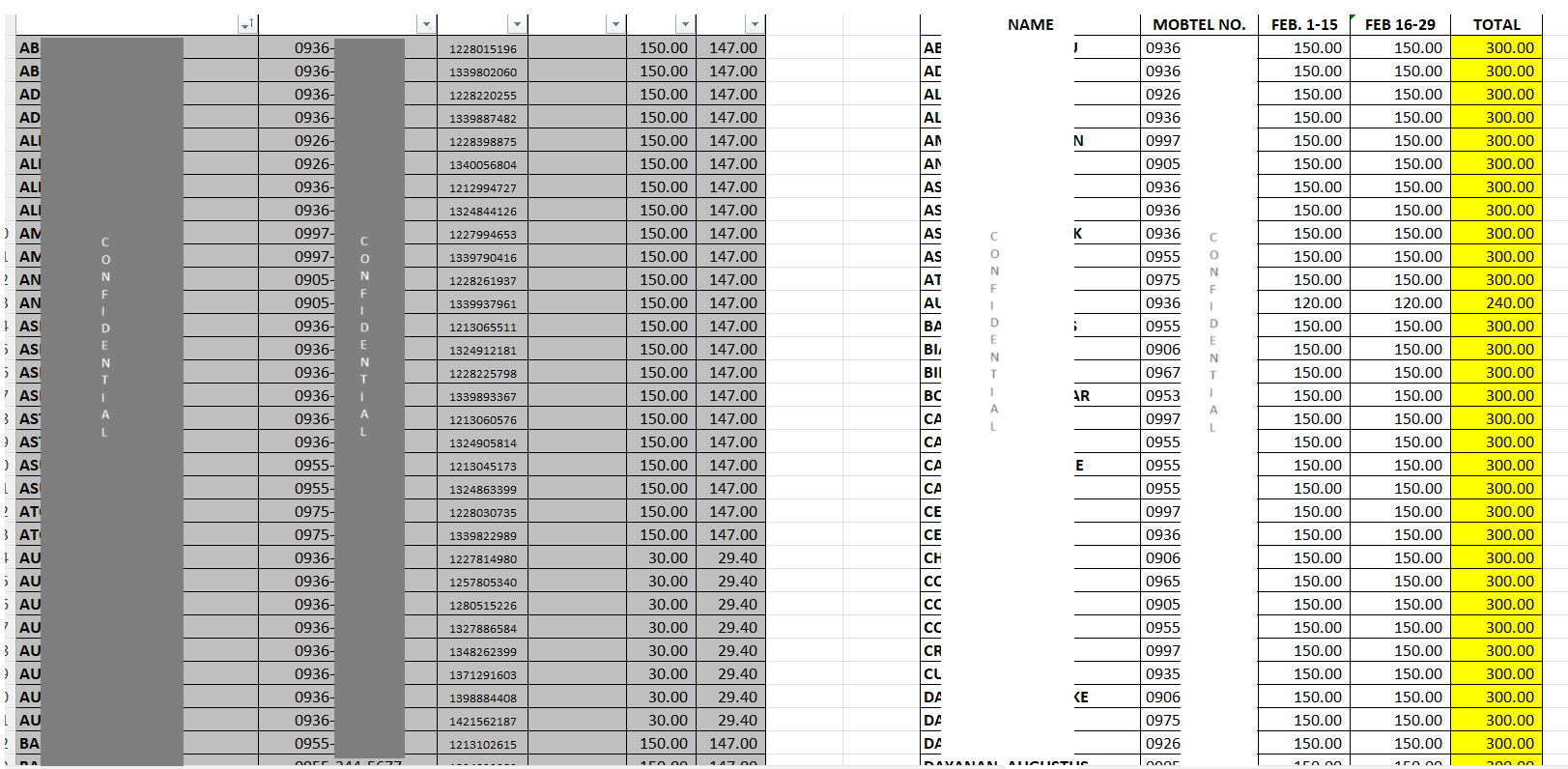
I used a phone to process it and encoded it in an excel file with the following details shown below. This is to monitor properly the load balance of the retailer sim used and the persons being loaded.

After encoding all data in the ledger-like excel file, I summarized it to see how much was loaded to every person. This will be data to be used for making the load expense report for the month.

Lastly, this is the report I formatted, using MS Excel, with the data gathered from the previous summary I did. It will now show the load expenses of each department. This will also be the same report to be submitted to the accounting payables department for payment request and disbursement.
